¿À´Ã ÇÏ·ç ±×¸¸º¸±â
´Ý±â
·Î±×ÀÎ
|
ȸ¿ø°¡ÀÔ
|
ID/PW ã±â
|
Á¦Ç°»ó´ã¹®ÀÇ
°í°´Áö¿ø
¾÷¹«¾È³»¦¢Á¦Ç°¹®ÀÇ
ÀüȹøÈ£¦¢
02-2081-2510
Email ¦¢
support@takara.co.kr
¾÷¹«½Ã°£¾È³»
[ Æò¡¡¡¡ÀÏ ] 09 : 00 ~ 18 : 00 ¦¢ [ Á¡½É½Ã°£ ] 12 : 00 ~ 13 : 00
Å䡤ÀÏ¿äÀÏ, °øÈÞÀÏÀº ÈÞ¹«ÀÔ´Ï´Ù.
Á¦Ç°Á¤º¸
°øÁö
±â¼úÁö¿ø
Á¤º¸ÀÚ·á
Learning Center
ȸ»çÁ¤º¸
ÀüÁ¦Ç°º¸±â
Á¦Ç°¼±Åð¡À̵å
Custom Service
À̺¥Æ®/ÇÁ·Î¸ð¼Ç
´ÙÄ«¶ó¼Ò½Ä
Takara Bio°ø½Ã
½ÅÁ¦Ç°¾È³»
¶óÀ̼±½º¾È³»
±â¼úÁö¿ø¹®ÀÇ
±â±âµ¥¸ð½Åû
¼¼¹Ì³ª½Åû
LMO¾È³»
ºê·Î¼Å
On-line tool
eNews
樨毢
CoA & MSDS
°³¿ä & ¸®½ºÆ®
¼Ò°³
µµÀԺ귣µå Á¤º¸
´ë¸®Á¡Á¤º¸
ã¾Æ¿À½Ã´Â±æ
Home
>
ÀüÁ¦Ç°º¸±â
>
NGS °ü·Ã
>
Immune-Seq
> [New] MaxiSeq¢â Human FFPE TCR+BCR (with UMIs)
FFPE »ùÇÃÀÇ TCR+BCR profiling kit
[New] MaxiSeq¢â Human FFPE TCR+BCR (with UMIs)
Á¦Á¶»ç
Á¦Ç°ÄÚµå
Á¦Ç°¸í
¿ë·®
°¡°Ý
(ºÎ°¡¼¼º°µµ)
ºñ°í
»ç¿ëÀڸŴº¾ó
Clontech
634386
MaxiSeq¢â Human FFPE TCR+BCR (with UMIs)
24ȸ
(Package)
2,713,600¿ø
3,392,000¿ø
05.04 ~ 06.19
Clontech
634387
MaxiSeq¢â Human FFPE TCR+BCR (with UMIs)
96ȸ
(Package)
9,260,000¿ø
11,575,000¿ø
05.04 ~ 06.19
Product index
SMART-Seq °³¿ä
[±â¼ú°³¿ä] SMART-Seq T..
RNA-Seq ¼±Åð¡À̵å
NGS ¼±Åð¡À̵å (NGS ±â..
RNA-Seq Á¦Ç°¸íÀÌ ÀÌ·¸..
mRNA-Seq (Single cell)
[New]Single cell mRNA-..
[New]Ultra low input m..
[New]High throughput, ..
Ultra low input mRNA-S..
High throughput, Autom..
Ultra low input 3¡¯end..
Long Read mRNA-Seq Kit
Spatial analysis
[New] Takara Trekker¢ç..
Takara Seeker Spatial ..
Takara Trekker¢ç FX
Total RNA-seq
[New](+UMI) Pico i..
[New]Pico input strand..
[New]Single cell stran..
[New]Mid Input Strande..
[New]High Input Strand..
Total RNA-Seq Kit (FFP..
ÀÓ»ó»ùÇÃ ÃÖÀû Pico Inp..
ÀÓ»ó»ùÇÃ ÃÖÀû Pico Inp..
Single cell Stranded R..
Mid Input Stranded RNA..
High Input Stranded RN..
Small RNA-Seq
Small RNA-Seq Kit
Immune-Seq
[¼±Åð¡À̵å] Immune-se..
[New] MaxiSeq¢â Human ..
[New]UMI Àû¿ë Human TC..
[New]UMI Àû¿ë Human BC..
[New]UMI Àû¿ë Mouse TC..
[New]UMI Àû¿ë Mouse BC..
UMI Àû¿ë Human TCR pro..
Human BCR IgG IgM H/K/..
Mouse TCR a/b Profilin..
Mouse BCR IgG H/K/L Pr..
±âŸ RNA-Seq
Full length cDNA ÇÕ¼º
Target RNA Capture for..
DNA-seq °³¿ä
[±â¼ú°³¿ä] ThruPLEX & ..
DNA-Seq ¼±Åð¡À̵å
´Ù¾çÇÑ input DNA-seq
ssDNA-Seq Kit
ThruPLEX¢ç DNA-Seq FLE..
ThruPLEX¢ç Tag-Seq FLE..
Low Input DNA-Seq
ThruPLEX¢ç DNA-seq Kit
ThruPLEX¢ç Plasma-seq ..
PicoPLEX¢ç Single Cell..
Single cell DNA-Seq
PicoPLEX¢ç Single Cell..
ChIP-Seq / Meth-Seq
50pg ChIP DNA-seq Kit
DNA SMART ChIP-Seq Kit
Meth-Seq DNA Enrichmen..
Micrococcal Nuclease
Whole Genome Amplification..
[±â¼ú°³¿ä] ThruPLEX & ..
PicoPLEX¢ç Single Cell..
PicoPLEX¢ç Single Cell..
Index Kit
ThruPLEX, PicoPLEX¿ë I..
Stranded-SMART kit¿ë U..
Unique Dual Index Kits
NGS Library Á¤·®
Library Quantification..
16S DNA Quantitative S..
NGS Sample preparation
rRNA Á¦°Å½Ã¾à RiboGone..
Magnetic Separator-PCR..
DNA Fragmentation Kit
Takara FFPE DNA QC All..
NGS ºÐ¼®¿ë È¿¼Ò
SeqAmp¢â DNA Polymeras..
PrimeSTAR¢ç GXL DNA Po..
PrimeSTAR¢ç LongSeq DN..
Single strand DNA Liga..
NGS °ü·Ã Àåºñ
ICELL8 cx Technical No..
ICELL8¢ç cx Single-Cel..
ICELL8 cx 3 Differenti..
ICELL8¢ç cx Single-Cel..
ICELL8 cx Human TCR Pr..
ICELL8¢ç cx blank chip
PGT-A
Embgenix¢â PGT-A Kit (..
[Legacy] NGS Products
(Legacy) PicoPLEX¢ç WG..
FFPE »ùÇðú °°ÀÌ ºÐ¼®ÀÌ ¾î·Á¿î »ùÇÿ¡ ÃÖÀû - ´Ù¾çÇÑ Ç°ÁúÀÇ 200 ng-1 ¥ìg human RNA (RIN ¡Ã4, DV200 ¡Ã40%)
³ôÀº Æí¸®¼º°ú È¿À²¼º - ÇϳªÀÇ kit·Î human TCR & BCR °¢°¢ ¶Ç´Â µ¿½Ã¿¡ ºÐ¼® °¡´É
Æø³ÐÀº immune profiling °á°ú - ¸ðµç TCR chain (TRA, TRB, TRG, TRD) ¹× BCR chain (IgG, IgM, IgA, IgD, IgE, IgK, IgL) ºÐ¼® °¡´É
³ôÀº ºÐ¼® Á¤È®µµ - UDI Àû¿ëÀ¸·Î index hopping ¹æÁö, UMIs Àû¿ëÀ¸·Î PCR bias ¹× sequencing error º¸Á¤
Á¦Ç°¼³¸í
MaxiSeq¢â Human FFPE TCR+BCR (with UMIs)´Â human FFPE RNA·ÎºÎÅÍ TCR ¹× BCR ¼¿¿¡ ´ëÇÑ Illumina¿ë library¸¦ Á¦ÀÛÇÒ ¼ö ÀÖ´Ù. º» Á¦Ç°Àº °£¼ÒÈµÈ ¿öÅ©Ç÷ο츦 ÅëÇØ 200 ng-1 ¥ìgÀÇ FFPE RNA¿¡¼ human TCR chain (TRA, TRB, TRG, TRD)¿Í BCR heavy chain (IgG, IgM, IgA, IgD, and IgE) ¹× light chain (IgK and IgL)ÀÇ CDR3 ¼¿À» ºÐ¼®ÇÒ ¼ö ÀÖ´Ù.
º» Á¦Ç°Àº ³·Àº ǰÁúÀÇ RNA (RIN ¡Ã4, DV200 ¡Ã40%), ƯÈ÷ FFPE »ùÇðú °°ÀÌ °íÁ¤µÈ Á¶Á÷ ³» RNA·ÎºÎÅÍ °íǰÁúÀÇ library¸¦ Á¦ÀÛÇÒ ¼ö ÀÖ´Ù. ¶ÇÇÑ Unique Molecular Identifiers (UMIs)°¡ Àû¿ëµÇ¾î PCR bias ¹× sequencing error·ÎºÎÅÍ ÆÄ»ýµÈ read¸¦ Á¦°ÅÇÏ°í µ¥ÀÌÅÍÀÇ Á¤È®µµ¸¦ Çâ»ó½Ãų ¼ö ÀÖ´Ù. Á¦Ç° ³» Unique Dual Index plate°¡ Æ÷ÇԵǾî index hopping ¹æÁö»Ó¸¸ ¾Æ´Ï¶ó ÃÖ´ë 96°³ÀÇ multiplexingÀÌ °¡´ÉÇÏ´Ù. (
Indexes & Plate Map ´Ù¿î·Îµå
)
±×¸² 1. MaxiSeq¢â Human FFPE TCR+BCR (with UMIs) workflow
±×¸² 2. Renal cell carcinoma FFPE Á¶Á÷ À¯·¡ RNA·ÎºÎÅÍ °íǰÁú immune profiling library Á¦ÀÛ
MaxiSeq¢â Human FFPE TCR+BCR (with UMIs)¸¦ ÀÌ¿ëÇÏ¿© Renal cell carcinoma FFPE Á¶Á÷ À¯·¡ 200 ngÀÇ RNA·ÎºÎÅÍ °íǰÁú library¸¦ Á¦ÀÛÇÏ¿´´Ù.
Penal A.
H&E staining °á°ú.
Panel B.
°ËÃâµÈ TCR clonotype ¼ö.
Penal C.
FFPE Á¶Á÷ À¯·¡ RNA·ÎºÎÅÍ ³ôÀº ÀçÇö¼ºÀÇ library ½ÃÄö½Ì °á°ú.
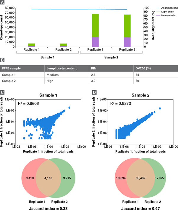
±×¸² 3. Tumor-Infiltrating Lymphocytes (TILs)ÀÇ BCR clonotype profiling ºÐ¼® °á°ú
MaxiSeq¢â Human FFPE TCR+BCR (with UMIs)¸¦ ÀÌ¿ëÇÏ¿© ¼·Î ´Ù¸¥ µÎ °³ÀÇ FFPE TILs sample·ÎºÎÅÍ BCR clonotype profiling ºÐ¼® °á°ú.
Panel A&B.
Sample 2¿¡¼ ´õ ¸¹Àº BCR clonotype °ËÃâµÇ¾úÀ¸¸ç, ÀÌ´Â lymphocytes ÇÔ·®ÀÌ ³ô±â ¶§¹®ÀÌ´Ù.
Panel C&D.
°¢ sample¿¡ ´ëÇÑ ¹Ýº¹½ÇÇèÀÇ »ó°ü°ü°è´Â >0.96 (R2)·Î ³ôÀº ÀçÇö¼ºÀ» È®ÀÎÇÏ¿´´Ù. ¶ÇÇÑ µÎ ¹Ýº¹½ÇÇè °á°ú¸¦ ºñ±³ÇÏ¿´À» ¶§, clonotype ´Ù¾ç¼ºÀÌ ³ô¾Æ replicate °£ÀÇ Áߺ¹ÀÌ ³·Àº °ÍÀ» È®ÀÎÇÏ¿´´Ù. (Jaccard index=0.38~0.47)
³»¿ë
ÀÚ¼¼ÇÑ ±¸¼ºÇ°Àº
CoA
¸¦ ÂüÁ¶Çϼ¼¿ä.
MaxiSeq Human FFPE TCR+BCR (with UMIs) Unique Dual Indexes Plate (1 x 96-well plate)
[
Indexes & Plate Map ´Ù¿î·Îµå
]
º¸Á¸
Package 1: - 70¡É
Package 2
*
& 3: - 20¡É
(
*
Package 2 ³» Nuclease-Free Water´Â À¶ÇØ ÈÄ 4¡É º¸°ü)
Àû¿ë ¾îÇø®ÄÉÀÌ¼Ç ºÐ¾ß
- Á¾¾ç¸é¿ªÇÐ ¿¬±¸
- FFPE Á¶Á÷¿¡¼ Á¾¾ç ³» microenvironment profiling
°ü·Ã Á¦Ç°
- ±Ø¼Ò·® RNA·ÎºÎÅÍ °í°¨µµ human & mouse immune profiling kit:
Á¦Ç° ¼±Åð¡À̵å
,
ºê·Î¼Å
- °íǰÁúÀÇ ½ÃÄö½Ì µ¥ÀÌÅ͸¦ ¾ò±â À§ÇÑ Illumina¿ë library Á¤·® kit:
Library Quantification Kit
- Sequencing °á°úÀÇ ºü¸¥ validationÀ» À§ÇÑ qPCR ½Ã¾à:
TB Green
¢ç
Premix Ex Taq
¢â II FAST qPCR (Code RR830A)
Keyword :
Immune-Seq
[¼±Åð¡À̵å] Immune-seq
FFPE »ùÇÃÀÇ TCR+BCR profiling kit
[New] MaxiSeq¢â Human FFPE TCR+BCR (with UMIs)
RACE±â¼úÀ» Ȱ¿ëÇÑ °í°¨µµ TCR repertoire ºÐ¼®
[New]UMI Àû¿ë Human TCR profiling(v3)
RACE±â¼úÀ» Ȱ¿ëÇÑ °í°¨µµ BCR repertoire prof..
[New]UMI Àû¿ë Human BCR profiling(v2)
[New]UMI Àû¿ë Mouse TCR profiling(v2)
Mouse B-cell receptorÀÇ °í°¨µµ BCR repertoir..
[New]UMI Àû¿ë Mouse BCR profiling(v2)
TCR repertoire¸¦ Ź¿ùÇÑ °¨µµ·Î ºÐ¼®
UMI Àû¿ë Human TCR profiling(v2)
Human BCR V(D)J ¿µ¿ª ¼¿ ºÐ¼® (BCR profilin..
Human BCR IgG IgM H/K/L Profiling Kit(v1)
Mouse TCR ¥á/¥â V(D)J °¡º¯¿µ¿ªÀÇ NGS ¼¿ ºÐ..
Mouse TCR a/b Profiling Kit(v1)
Mouse B-cell receptorÀÇ Heavy chain, Light c..
Mouse BCR IgG H/K/L Profiling Kit(v1)